

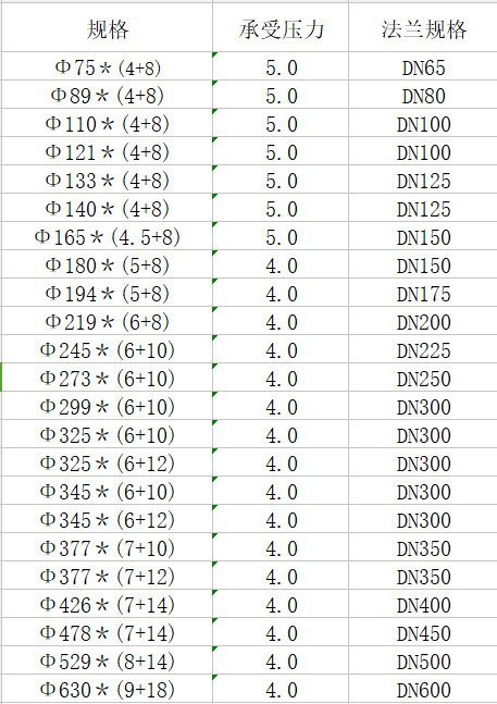
超高聚乙烯鋼塑復合管全稱是超高分子量聚乙烯鋼塑復合管。超高分子量聚乙烯復合管是由超高分子量聚乙烯管和碳鋼管經科學的工藝復合而成。其特征是由帶法蘭的鋼管作為加強護層的外層,敷以由超高分子量聚乙烯管作為基體管材的內層,內層超高分子量聚乙烯管的基體管材沿外層管口延伸至法蘭端面外緣形成整體的結構,將超高分子量聚乙烯管與碳鋼管的特性合二為一,形成了具有耐磨、耐沖擊、耐腐蝕、耐高壓、自潤滑、吸收沖擊性能、抗粘結的管路設備。
![]()
超高分子量聚乙烯鋼塑復合管對試壓有什么要求
1、對超高分子量聚乙烯鋼塑復合管進行分級升壓時,每升一級檢查支墩、管道及界面,未發現異常現象才可以繼續升壓。試壓實驗時,嚴禁對管材、管件及接口等部位進行敲打或修補。遇有缺陷時,卸壓后再修補。
2、超高分子量聚乙烯鋼塑復合管管道試壓長度不大于500米,在過路、過河段的地方應單獨試壓。壓力表應分別安裝在管道進口、末端和最低處,以最低處壓力為準,若管道最低處不能安裝壓力表,可根據落差計算出最低處壓力。升壓過程中,壓力表針擺動、不穩且升壓較慢時,應重新排氣后再升壓。
超高分子量聚乙烯鋼塑復合管的試壓步驟,需要保證每一項工作都是正常且無誤的,不然,后期是很容易會發生故障隱患的,當然,我們只有掌握好它的相關操作事項,才能確保它在工作中的安全。
![]()
簡述超高分子量聚乙烯鋼塑復合管的拉伸方法
1、按照相關規定截取壁厚大于20mm的超高分子量聚乙烯鋼塑復合管;
2、拉伸時,先使用由未經壓平的超高分子量聚乙烯鋼塑復合管樣品加工的圓棒試樣;
3、焊縫應基本平齊,局部缺欠可以去除,但軋制氧化層不得從試樣上去除;
4、壓平后的試樣必須進行與超高分子量聚乙烯鋼塑復合管相同的熱處理;
5、對外徑不大于210mm的管體進行橫向拉伸時,可采用管狀試樣。
如果超高分子量聚乙烯鋼塑復合管要進行熱處理,我們使用的試樣可在熱處理前截取并壓平,因此我們應經常對聚乙烯耐磨管試樣進行檢查,確保拉伸時不會出現差錯。




淄博向東超高分子材料有限公司
電話:0533-8179270
尹總:13806486435
姜總:15953351616
姜經理:13853388323
地址:山東省淄博市周村經濟開發區